Bandas de Bollinger: definición, fórmula y señales de trading
Si los mercados se moviesen de forma totalmente aleatoria y siguiesen una distribución estadística normal, el precio se mantendría dentro de las bandas de Bollinger en el 95,45 % de las ocasiones. Aunque esta hipótesis dista de ser perfecta, ofrece un punto de referencia muy útil para los traders.
¿Cómo funcionan las bandas de Bollinger en trading? ¿Cuándo se debería comprar o vender según las señales de trading de las bandas de Bollinger? ¿Son realmente rentables las estrategias de trading basadas en las bandas de Bollinger?
En este artículo se presenta todo lo que debe saber para empezar a operar con las bandas de Bollinger de forma eficaz.
Las bandas de Bollinger en trading son un indicador técnico de volatilidad. Forman un canal envolvente de precios en el que las bandas superior e inferior se sitúan a una distancia de 2 desviaciones estándar con respecto a la media.
Las bandas de Bollinger se ensanchan cuando aumenta la volatilidad y se estrechan cuando disminuye. El ancho de las bandas de Bollinger (Bollinger Band Width, BBW) mide la distancia entre ambas bandas.
Las bandas de Bollinger por sí solas no proporcionan una ventaja relevante al trader, pero sí ofrecen un punto de referencia estadístico objetivo.
El trading conlleva riesgos. Esta actividad es adecuada únicamente para clientes informados que comprenden el funcionamiento de instrumentos financieros complejos (futuros, opciones, CFD, etc.) y que pueden permitirse asumir riesgos elevados, incluido el de sufrir pérdidas rápidas que excedan los depósitos. Las estadísticas de trading muestran que más del 90 % de los traders pierden dinero. Sea prudente.
¿Qué son las bandas de Bollinger?
Las bandas de Bollinger (Bollinger Bands) son un indicador técnico que utilizan los traders para analizar la volatilidad del mercado e identificar oportunidades de compra y venta.
Inventadas por John Bollinger en la década de los 80, las bandas de Bollinger se trazan directamente sobre la curva de precios. Se basan en una media móvil simple a la que rodean dos bandas exteriores que se ensanchan cuando aumenta la volatilidad y se estrechan cuando disminuye.

Cómo funcionan las bandas de Bollinger
Las bandas de Bollinger se componen de tres elementos clave:
- Una media móvil simple (normalmente de 20 periodos) de la curva de precios
- Una banda superior situada a 2 desviaciones estándar por encima de la media
- Una banda inferior situada a 2 desviaciones estándar por debajo de la media
Las bandas superior e inferior, por tanto, forman un canal envolvente de precios en torno a la media móvil.
Si asumimos que los mercados financieros siguen un comportamiento aleatorio que se rige por una distribución estadística normal, el trader puede tomar como referencia los siguientes puntos:
| Evento | Probabilidad |
|---|---|
| Cierre dentro de las bandas de Bollinger | 95,45 % |
| Cierre fuera de las bandas de Bollinger | 4,55 % |
| Cierre por debajo del límite inferior | 2,275 % |
| Cierre por encima del límite superior | 2,275 % |
Estas estadísticas serían precisas si los mercados fueran perfectamente eficientes. Sin embargo, el trader parte de la base de que el mercado no lo es (y que, por tanto, es posible superarlo). Estas estadísticas son más un punto de referencia que una regla absoluta.
Fórmula de cálculo de las bandas de Bollinger
La banda central es una media móvil simple de 20 periodos.
Banda central = Suma de los últimos 20 precios de cierre dividida entre 20
Las bandas exteriores se sitúan a una distancia de 2 desviaciones estándar de la banda central.
Banda superior = banda central + 2 desviaciones estándar
Banda inferior = banda central – 2 desviaciones estándar
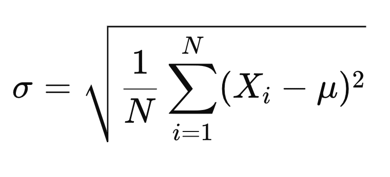
La desviación estándar (σ) es una medida de dispersión que indica la distancia media de los datos con respecto a la media.

Donde:
- σ = desviación estándar
- N = número total de valores
- Xi = cada uno de los valores de la muestra
- μ = media de los valores
- ∑ = suma de los elementos desde el 1 hasta N
La configuración de las bandas de Bollinger (es decir, el número de periodos de la media móvil y el número de desviaciones estándar) puede modificarse directamente en la plataforma de trading, al igual que la apariencia visual de los distintos componentes del indicador.

Cómo operar con las bandas de Bollinger
Interpretación de las bandas de Bollinger
Cuando la volatilidad disminuye, las bandas de Bollinger se estrechan (convergencia). En cambio, cuando la volatilidad incrementa, las bandas de Bollinger se ensanchan (divergencia). Cuando la volatilidad se mantiene constante, las bandas de Bollinger tienden a moverse en paralelo.

La distancia entre la banda superior e inferior de las bandas de Bollinger se mide con el indicador técnico Bollinger Band Width (BBW) o ancho de las bandas de Bollinger.

| Volatilidad | Bandas de Bollinger | BBW |
|---|---|---|
| Incrementa | Divergen | Incrementa |
| Disminuye | Convergen | Disminuye |
| Constante | Paralelas | Constante |
Los traders suelen optar por estrategias que siguen la tendencia cuando la volatilidad sube, pero prefieren estrategias de fading cuando la volatilidad baja.
También es posible utilizar las bandas de Bollinger para identificar en qué fase de la tendencia se encuentran los precios.
| Bandas de Bollinger | Fase de la tendencia |
|---|---|
| Divergen | Impulso inicial |
| Paralelas | Continuación |
| Convergen | Consolidación |
Soporte y resistencia de las bandas
Las bandas de Bollinger actúan como soportes y resistencias.

Cuando las bandas de Bollinger convergen, los traders pueden comprar en la banda inferior (soporte) y vender en la banda superior (resistencia) con una estrategia de fade trading.
En cambio, cuando las bandas de Bollinger divergen, los traders pueden comprar en la ruptura de la banda superior (resistencia) y vender en la ruptura de la banda inferior (soporte) con una estrategia de ruptura.
Ventajas y desventajas de las bandas de Bollinger
| Ventajas | Desventajas |
|---|---|
| Referencia estadística objetiva | Referencia estadística imperfecta |
| Es sencillo seguir la volatilidad | Difíciles de interpretar si se mantiene una volatilidad baja |
| Adecuadas en todas las unidades temporales | No se ha demostrado una ventaja estadística clara |
Preguntas frecuentes
¿Las bandas de Bollinger son un indicador técnico fiable?
Los resultados del backtesting muestran que el indicador de las bandas de Bollinger no ofrece una ventaja estadística relevante para ganar dinero en los mercados a largo plazo.
Cuando se tienen en cuenta las comisiones de intermediación, el rendimiento de las estrategias con bandas de Bollinger es inferior al del índice que se ha utilizado para la prueba.
Sin embargo, las bandas de Bollinger pueden utilizarse para elaborar sistemas de trading automáticos con los que abrir o cerrar posiciones de forma metódica, sin que influyan los sesgos psicológicos.
¿Qué unidad temporal debe utilizarse con las bandas de Bollinger?
La unidad temporal es irrelevante a la hora de utilizar las bandas de Bollinger, ya que funcionan tanto con unidades cortas como largas.
Esta versatilidad hace que sea posible utilizarlas tanto en estrategias de trading intradía o scalping como en estrategias en las que se mantienen las posiciones durante la noche, como el swing trading o el trading de posición.
Maxime tiene dos másteres por la SKEMA Business School y la FFBC: un máster en Gestión y un máster en Análisis Financiero Internacional. Como fundador y redactor jefe de NewTrading.fr, redacta artículos diariamente sobre trading financiero.
